1 ABS/ASR的基本原理
1.1 ABS的基本原理
ABS(Anti-lock Braking System,即防抱死制動系統)是在制動期間控制和監視汽車速度的電子控制系統。在汽車制動的過程中,它通過常規制動系統起作用,能夠自動地控制車輪在旋轉方向上的打滑,并把相應的滑移率控制在最佳范圍之內,可提高汽車的主動安全性。
在汽車的制動過程中,使汽車制動而減速行駛的外力是路面作用于輪胎胎面上的地面制動力。但地面制動力取決于兩個摩擦副的摩擦力:一是制動裝置對車輪的摩擦力,即制動器制動力;另一個是輪胎與路面間的摩擦力,即地面附著力。只有當汽車有足夠的制動器制動力及地面附著力時,才能獲得足夠的地面制動力。
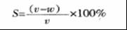
汽車制動過程中,車速和車輪轉動線速度(輪速)之間存在著速度差,也就是車輪與地面之間有滑移現象。一般用滑移率S來表示滑移的程度

式中:u—車速;w—輪速。
試驗和理論分析表明:在制動過程中,滑移率S是與制動的距離、制動時的方向可控性和制動的平穩性密切相關的可控制的量。其原因在于滑移率與汽車和地面間的縱向附著系數μB及側向附著系數μS的關系呈一定的非線性曲線關系,見圖1制動控制區。滑移率S=0時,汽車處于非制動狀態,縱向附著系數μB=0,側向附著系數μS處于最大值;汽車處于制動狀態時,μB隨滑移率S的增大而增大,μS隨滑移率S的增大而減小,當滑移率S達到某個數值時,μB達到最大,這時的滑移率稱為最佳滑移率(用SK表示);之后隨著滑移率的增大,μB和μS不斷減小,滑移率S=100%時,車輪完全抱死,μB降到一數值,μS≈0縱向附著力不大,側向附著能力幾乎盡失,汽車的制動穩定性、方向穩定性和轉向能力將完全喪失。

滑移率S在0~Sk區間,可保證穩定制動,稱為穩定區;在Sk至100%區間為不穩定區,當滑移率S超過Sk后,車輪很快就會進入抱死狀態。當滑移率S處于10%~30%之間時,縱向附著系數μB處于峰值范圍,側向附著系數μS也比較大,可以同時得到較大的縱向和側向附著力,是安全制動的理想工作區域。
ABS的基本原理就是通過調節制動管路的壓力,控制車輪制動器的制動力,使汽車在緊急制動時,輪速保持在適當的范圍內,車輪滑移率控制在10%~30%的穩定制動區段上,車輪不被抱死,既能保持最大的制動力,又能充分利用車輪附著力,大大提高制動效能。
1.2 ASR的基本原理
ASR(Anti-Slip Regulation,即驅動防滑系統)也叫自動牽引力控制TCS(Traction Control System),是一套在ABS基礎上發展起來,與ABS一起對打滑的驅動輪進行控制的系統。
汽車的行駛受行駛牽引力和附著力的限制,即要滿足
式中:∑Ff——汽車行駛阻力;F1——汽車牽引力;Fφ——汽車附著力。
如果路面的附著系數很小,容易使汽車的牽引力超過輪胎與路面間的附著極限(即Ft>Fφ),產生驅動輪過度滑轉,后輪驅動的汽車將可能甩尾,前輪驅動的汽車則容易方向失控,導致汽車向一側偏移。驅動防滑的基本原理與制動防滑相似,根據地面附著系數和車輪滑移率的關系曲線(見圖1驅動控制區),把車輪滑移率控制在一定范圍內,提高地面附著力的利用率,改善驅動性能。
目前,ASR常用的控制方法有種:一是調整發動機加在驅動輪上的轉矩的發動機控制。汽油機常通過控制燃油噴射量、點火時間、節氣門開度來減低其輸出轉矩;柴油機常通過控制燃油噴射量來減低其輸出轉矩。二是對發生打滑的驅動輪直接施加制動的制動控制。如果驅動輪在不同附著系數的路面上,通過對打滑的驅動輪實施制動,降低滑移率,提高驅動力。對于附著系數相同的路面,可通過發動機控制來實現防驅動輪打滑,也可對打滑的兩驅動輪實施制動;為防止制動蹄過熱,當車速高于一定值時,制動控制將不起作用,要依靠發動機控制。
ASR與ABS有十分密切的聯系,是ABS的自然延伸。二者在技術上比較接近,部分軟、硬件可以共用。ABS所用的傳感器和壓力調節器均可為ASR所利用,ABS的電子控制裝置只需要在功能上進行相應的擴展即可用于ASR裝置。在 ABS的基礎上,只需添加ASR電磁閥,即可對過分滑轉的車輪實施制動。對電控發動機來說,通過總線就可控制發動機的輸出力矩。非電控發動機,只需增加一些傳感器和執行機構,就可控制發動機的輸出力矩。基于此,通常把二者有機地結合起來,形成汽車ABS/ASR防滑控制系統。
-
筑牢安全防線,守護生命之光 ——正昌電子2025年安全生產月活動紀實
2025-07-01
-
【轉載】法士特攜高端智能綠色“新品矩陣”閃耀上海國際車展
2025-04-24
-
【轉載】法士特榮登陜西汽車工業40強
2025-04-03
-
臨工重機股份有限公司來我司考察并達成合作意向
2025-02-26
-
【轉載】法士特舉行2025“勇奪開門紅”誓師大會
2025-01-22
-
正昌電子2024年年度總結大會圓滿召開
2025-01-21



官方微信
手機版訪問